先说结论:
如果说原来只能买1个戒指,那么多打五折后,可以买4.41个戒指。
表面上多打五折,问题的关键在于物品售价与新原价的比值大小,越接近1购买的倍数越高,
注:本文所指“赌博、赌戒指”等行为,均指在游戏中使用游戏金币购买未辨识游戏道具的行为,与现实中赌博无任何关联。

在恐惧22夜活动上线后,在2022年12月17日、12月24日和12月31日三天的增益效果为:“黑色大拍卖,NPC商人售价打五折”,具体的效果也就是暗黑2中属性“商人售价降低X%”这里X多了50%,也就是说经过赌博弓(Edge边缘,15%)和基德的运气(最大15%)两个加成后,又多了50%,也就是80%的优惠,即本来七折,现在二折就可以在商人处购买物品,原价50000的戒指,也变成了10000一枚。

图1 恐惧22夜 - 黑色大拍卖

图2 千载难逢!
那么,价格从35000变成了10000,对赌戒指的提升究竟有多大呢?
变成了原来的七分之二,那么购买的数量是否变成原来的二分之七呢?

问题来由:
从实际的体会来看,我每一次在基德赌博时准备满金币,94级人物可携带94w,4仓库共1000w,共计1094w,一般可以购买320个戒指,同时剩余50多w左右,剩下的钱还可以再购买大概十几个,但我一般剩余金币不能购买32个戒指时会停止赌博,所以可以知道的是,1094w可以大概购买330多个戒指;
而此次活动我一口气来了2把,也就是2188w金币,一共赌了2次(12月24日和12月31日),分别赌了2912个戒指和2944个戒指,每个也都剩一些金币,如果分析1094w,那么1094w赌了大概1400多,1500不到的戒指,如果取1450÷335进行估算,结果是4.32,居然大于预想的“二分之七”,也就是350%;
此时,我发现,这个问题似乎不是那么简单。
但我也很快想明白了,这个问题的关键在于,物品需要卖出,卖出的金额可以继续购买物品。根据目前赌的10w+的戒指来看,也就保留了100来个戒指,也就是说99.999%的戒指都是没有用,需要卖掉的,而我在统计售价时也把保留的戒指的价格按照假设卖出,一并计算,所以我利用现有的数据可以逼近基德赌博戒指的平均价格。
事实上这个平均价格波动很大,根据目前105295个戒指的统计结果,可以初步认为戒指的平均售价在2667左右,事实上105295个戒指一共卖了280829580,平均售价为2667.0742
这是长期赌戒指试验的重要数据,是本文结果的关键。

图3 戒指平均价格
以戒指平均售价为2667.0742进行推算:
我们知道,以1094w为例,假设戒指3.5w一枚,那么
第一次操作:可以购买312个戒指,
剩余2w,共计卖出832127.1504,剩余金额为852127.1504
第二次操作:可以购买24个戒指,
剩余12127.1504,共计卖出64007.7808,剩余金额为76136.9312
第三次操作:可以购买2个戒指,
剩余6136.9312,共计卖出5334.1484,剩余金额为11471.0796
此时小于3w5,无法再购买了,一共购买了312+24+2=338个戒指
所以1094w,理论上可以购买338个戒指
那么按照这样的方式在电脑上进行推算,可以求得下表:

可以看到,只要不断买进,卖出直至金币耗尽,随着金币数量级增大,单价会趋近于定值,而我们仔细观察32332.9258和7332.9258这两个数字,不难发现它们分别就是35000-2667.0742和10000-2667.0742的结果,也就是说,倍率的计算公式应该是:

式1 倍率计算公式
代入,原价=35000,新原价为10000,售价为2667.0742
可以算出倍率为4.409280372,即约为97/22,4.41
所以,价格变为原来的七分之二,可以购买的戒指数量并不止变为原来的二分之七,而是要考虑到平均售价的问题,代入式1即可求得倍率。

延伸讨论:
下面我们对倍率和售价的函数关系进行讨论,
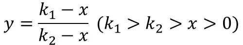
设倍率为y,售价为x,原价为常数k1,新原价为常数k2,由于售价x是正数,为了使金币全部耗尽,那么售价必须要小于原价和新原价,不然的话金币无限了,且新原价要小于旧原价,概括起来就是:k1>k2>x>0
还没完,原价是七折,新原价是二折,也就是说k1/k2是定值=7/2=3.5
即:

式2 倍率y和售价x的关系
凭借对数学的敏感性,我们不难发现2点:
1)当x趋向于0时,y趋向于k1/k2=3.5;
这个的含义简单说就是,新原价变成原来的3.5分之1,那么可以购买的量就是原来的3.5倍
2)这是一个增函数;
也就是说在1)的基础上,只要售价大于0,那么可购买的量就不止原来的n倍
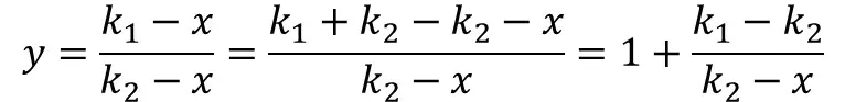
不难看出这就是一个由二、四象限的反比例函数平移后的结果,也就是说这是增函数,随着售价x增大,倍率y会增大,即x只要大于0,那么y就大于k1/k2
下面我们来求解验证一下:

式3
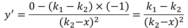
对式2进行变形,得到式3,求出一阶导数y',得:

式4
根据初始条件k1>k2>x>0,不难判断,y'在定义域内恒大于0,所以y在定义域内是增函数。
即:随着售价x增大,倍率y会增大,即x只要大于0,那么y就大于k1/k2
根据我们赌戒指获得的重要数据:戒指的原售价为35000,新售价为10000,平均售价为2667.0742(105295枚戒指的统计结果),可以求得倍率y=4.41。

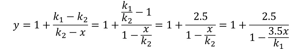
但是,这个问题还没完,我们还有一个条件没用,就是k1/k2=3.5,这个的含义就是额外打五折,老原价k1是七折价格,新原价k2是二折价格,k1/k2=3.5,我们把它代入式3,消去k2,只保留老原价k1,就有:

式5
这里我们发现,如果我们把x/k2(x/k1同理)看成一个新变量m(m=x/k2),那么可以得到以下重要推论:
1)只要x<k2,金币就还是会耗尽。
这个很容易理解,只要物品售价不超过新原价k2,金币还是会耗完的,但是反过来说如果金币售价非常接近新原价k2,即m趋向于1,那么金币近乎可以认为是准无限或者极难耗尽的。
2)问题的关键在于求m的值,而由于k2已知,故求得平均售价x是关键。
而对于赌不同的物品,m的值不同,
以赌戒指为例,戒指的平均售价x,试验值为2667.0742(105295枚戒指的测算结果),新原价x/k2为10000,所以x/k2=0.2667,y为4.41,新原价施行后原来买1个戒指的钱可以买4.41个

图4
至于赌头环,这里参考了活在电影中 赌头环实录的结果,如果按照玩家(ID:活在电影中)所说,新售价k2宝冠37422,头环27751,售价为25000,m值分别为0.668和0.901,那么对应求得的y的倍率为8.53和26.25,也就是说:
原来买1个头环的钱,现在可以买8.53和26.25个(what????离谱!)

后记:
很多问题不能想当然理解哈,实际计算过后,结果着实令人震惊,我都想去赌头环了!没办法,既然走上了赌戒指这条路,便风雨兼程。事实上活动当天画完1094w赌那1400多个戒指,已经用了我将近1个小时的时间,试想1094w可以购买大约45-46波32个戒指,每一波看完再卖掉,再记录,就要花掉1分钟多,即便我不进行数据记录,看完这45-46波戒指想必也要40分钟,加上打钱还要40min左右,也就是说如果我一天24h不吃不喝全力冲刺,像一个机器人一样拼命循环,我一个人最多理论可以操作24*60/80=18个循环,18×46×32=26496,也就是说,一个人一天合法情况下赌这么多个戒指是可以预测到的极限了(自己打钱自己赌的情况下),事实上我一天赌2188w金币,赌完记录完数据,已经花掉4个小时了,这才看了2900多戒指,已经是个人极限了,就算我玩24小时,我也才能勉强看17400个戒指,这显然是不可能的。总之,暗黑2还是一个漫长的过程,最近也经历了许多事情,且行且珍惜啦。
评论
还得是你🧱业
反正是没赌出货 出了一个暗金的没来及看清给卖了![[傲娇]](【暗黑2:狂赌】多打五折对赌博提升有多大? - 哔哩哔哩_files/3d456150a0ded1a70a57768df7baecde.avif)
我们都是头环产出大